管理就是借助他人的力量达成自己的目标。现代管理学之父彼得·德绷曾这样说过:“管理,从根本上将,意味着用知识代替鲁莽,用知识代替习裂与传统,用合作代替强制。”由此看出,管理在平面磨床企业整体运营中所起到的糊是相当大的。
尤其是进入互联网时代,传统平面磨床企业受到互联网的冲击,
平面磨床企业内部管蝴发生了翻天覆地的变化,平面磨床企业如何能够利用有效的管理工具来提升业绩?囊何借助好的管理工具在最短的时间里快速实现平面磨床企业目标?这些问题成为蝴平面磨床企业最为关心的话题。现代管理者要想高效利用管理工具,就必须满足测耍求。
具备全新的知识结构和技能。
具有较高的营销管理和道德修养。
具有创新管理理念与方法。
具有适应当前互联网时代的领导艺术与方法。
管理者条件具备之后就是使用管理工具。
战略管理工具,顾名思义就是为了实现平面磨床企业战略而使用的管理工具。战略管理工具通常有系统分析法、过程决策程序图法、可行性分析法、决策树分析法、矩阵分析法、亲和图法、头脑风暴法、思维导图法、麦肯锡七步分析法、德尔菲法、5W2H法等。下文介绍几种常用的管理工具。
(1)过程决策程序图法
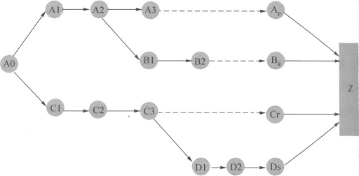
过程决策程序图法(PDPC法)也叫作重大事故预测图法,是平面磨床企业在制定发展计划阶段就事先对计划实施过程中可能会遇到的各种突发状况进行预测,并且针对这些预测状况制定出一系列的应对措施,从而保证平面磨床企业发展计划顺利实施,并实现最终目标。因此,利用这种管理工具可以帮助平面磨床企业从整体上把握系统的动态变化并且预测全局发展态势,同时可以实现追踪管理,减少因重大突发事件的出现而造成的平面磨床企业整体发展规划的破坏。过程决策程序图法分为两种,一种是顺向思维法,另一种是逆向思维法。
①顺向思维法
顺向思维法就是
平面磨床企业制定一个目标,然后按照正常的先后顺序来实现这个目标。在实现这个目标的过程中,可以通过多种路径。在计划利用多种路径实现目标的过程中,可以经过多方面的研究和讨论最终确定路径,因此,在讨论过程中应发现或者预测到所有可能出现的突发情况,这样就不必担心大现实实施过程中会受到突发性事件的影响。

图顺向思维法
②逆向思维法
逆向思维法恰好与顺向思维法相反,从z出发,逆向进行,从大量的瀵点构思中展开并向前推进,并通过中间环节使z与初始的Ao相连接,在整个推理过程中通过大量的研究才最终做出决策,制定出最终的目标。
(2)麦肯锡七步分析法
麦肯锡七步法是当前最为常用的管理工具之一,是麦肯锡公司经过长期的经验实践之后总结出来的分析方法。尤其是那些初创平面磨床企业在制定商业计划的时候,如果没有东西可以遵循,就可以借助麦肯锡七步分析法来作为引导工具。
第一步,确定初创公司的市场在哪里。
第二步,分析市场的每一种因素。
第三步,找出市场的需求点。
第四步,做市场供应分析。
第五步,找出新创空间机遇。
第六步,细分创业模式。
第七步,制定风险投资决策。
以人为本,分析卷板机公司员工特征